2 感知机
感知机很简单,就是两层神经元,和线性模型其实是一样的。

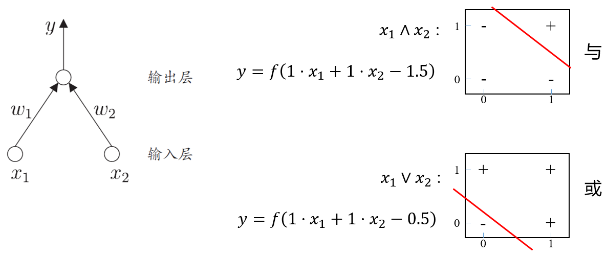
单层感知机
感知机可以简单地实现逻辑与或非运算

感知机学习规则
- 若对训练样本预测正确,则感知机不发生变化
- 若预测值更大,则降低激活输入的权重
- 若预测值更小,则增加激活输入的权重
写成式子就是 w_i←w_i+\alpha (y-\hat y)x_i
[Minsky and Papert, 1969] 提出:若两类模式线性可分,则感知机的学习过程一定会收敛;否感知机的学习过程将会发生震荡。
所以单层感知机的学习能力非常有限,只能解决线性可分问题。
如:异或问题不是线性可分的,感知机学习不能求得合适解,解决办法是使用多层感知机。
多层感知机
输出层与输入层之间的神经元层次,被称之为隐层或隐含层,隐含层和输出层神经元都是具有激活函数的功能神经元。
